電話:13570151199
傳真:020-39972520
郵箱:hanyan@hanyancarbon.com
地址:廣東省廣州市番禺區東環街番禺大道北555號天安總部中心30號樓6層
酸性活性炭催化回收纖維二糖,活性炭通過重氮偶合策略被磺酸部分官能化,可獲得高酸度。
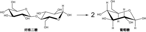
使用活性炭催化回收纖維二糖,纖維素水解成葡萄糖的主要原因是葡萄糖可以進一步轉化為各種增值化學品,在工業上,常見的處理纖維素的方法是使用均質的無機酸,例如HCl或H 2 SO 4,這種方法的缺點是反應容器受到腐蝕,還會產生污染物。在此,我們使用了一種將纖維二糖選擇性水解為葡萄糖的有效方法(圖1)使用酸性活性炭材料。

圖1:纖維二糖水解成葡萄糖。
使用酸性活性炭的原因
對于有些制造方法生產的活性炭本身就具有酸性功能,例如酚,羧酸或內酯。但是,這些酸性功能不夠強或不能以足以催化糖苷鍵水解的量存在。需要強酸位點,如磺酸。通常,被H 2 SO 4官能化的活性炭會產生不穩定的磺酸官能團,在催化測試過程中容易被浸出。而且,處理過的活性炭的結構完整性通常被削弱。但是經過我們多次實驗引入表面磺酸功能的功能化策略,可以與活性炭表面形成牢固的共價CC鍵,而不會破壞其骨架結構。
活性炭功能化的方法
活性炭已通過重氮偶聯策略進行了功能化。首先磺胺酸和亞硝酸異戊酯反應,原位形成重氮陽離子。在該步驟之后,脫重氮反應將通過碳材料主鏈的多芳族結構中的C原子與碳原子之間牢固的共價CC鍵,使活性炭表面上的芳基磺酸片段偶合(圖2)。這種官能化方法比在活性炭上產生磺酸官能團的常規方法(涉及硫酸)更安全,并且可以輕松擴大規模。而且,該方法對活性炭保持機械強度很溫和。

圖2:重氮偶合在碳材料上用于磺酸接枝。
活性炭催化回收纖維二糖
活性炭將纖維二糖水解為葡萄糖的能力(圖1)在溫和的條件下,即在N 2自生壓力下,在130°C和1,700rpm下攪拌2小時。觀察到的轉化是由于在該溫度下糖苷鍵的熱裂解引起的。功能化活性炭可顯著提高轉化率,最高可達到94%。磺酸功能控制著水解途徑,該機制將對葡萄糖的選擇性提高到95%(“原始活性炭”情況下為57%)。值得注意的是,這些數據(> 90%的轉化率和選擇性)僅在130°C的2小時內獲得。此處未觀察到通常從葡萄糖獲得的常見副產物,如乙酰丙酸或甲酸。無法完全排除其他產品,例如5-羥甲基糠醛,因為無法通過本工作中使用的HPLC色譜柱進行鑒定。僅鑒定了由葡萄糖異構化引起的一些果糖痕跡。但是,每次催化測試均進行了總有機物含量(TOC)分析發現沒有其他氣態產物形成。
在測試過程中使用的活性炭數量也會影響活性。對于SO 3 H/SX+材料。當活性炭的量太低(20mg)時,沒有活性并且轉化率與原始活性炭相同。當我們增加催化劑的用量時,就會引發酸性水解,轉化率更高。但是,在所有情況下,選擇性都極好(遠高于原始活性炭),而與催化劑的量無關。已對纖維素纖維進行了初步測試,并觀察到20%的轉化率(基于測試結束時纖維素的重量損失)。
酸性活性炭是使用活性炭通過重氮偶合反應功能化,從而在其表面接枝了強酸性磺酸官能團。與未官能化的活性炭相比,官能化活性炭催化劑都改善了在惰性氣氛下在中性水介質中纖維二糖在葡萄糖中的水解反應。用SO 3可獲得最大84%的轉化率和95%的葡萄糖選擇性。此外,這些結果是在低溫(130°C)下僅2小時內獲得的,這有望用于水解更堅固的底物,例如纖維素。與其他功能化方法(例如用硫酸處理活性炭)相比,這些功能的堅固性也將削弱材料的機械性能。這些官能化的活性炭還可以用作金屬納米顆粒的載體,以制備雙官能催化劑。酸性功能可將纖維二糖水解為葡萄糖,而金屬中心可將葡萄糖轉化為高價值分子,如山梨糖醇等。
文章標簽:椰殼活性炭,果殼活性炭,煤質活性炭,木質活性炭,蜂窩活性炭,凈水活性炭.推薦資訊
- 2026-02-25活性炭吸附處理啤酒廠廢水
- 2026-02-13活性炭吸附處理含汞廢氣
- 2026-02-04活性炭用于從廢水中吸附去除微量鎘和鉛
- 2026-01-28活性炭潔牙粉專用
- 2026-01-20活性炭在廢氣處理中的一些常識
- 2026-01-13活性炭在精制糖生產中的脫色效果
- 2026-01-07活性炭對咪唑基離子液體的吸附性能
- 2025-12-24活性炭改性增強對乙酰氨基酚的吸附
- 2025-12-15活性炭吸附馬兜鈴酸
- 2025-11-27超細活性炭5000目粉末活性炭
- 2025-11-26活性炭在硫化橡膠襯套中的應用
- 2025-11-19活性炭吸附重晶石混合物中的銅和鋅
